How much does running performance decline every decade?
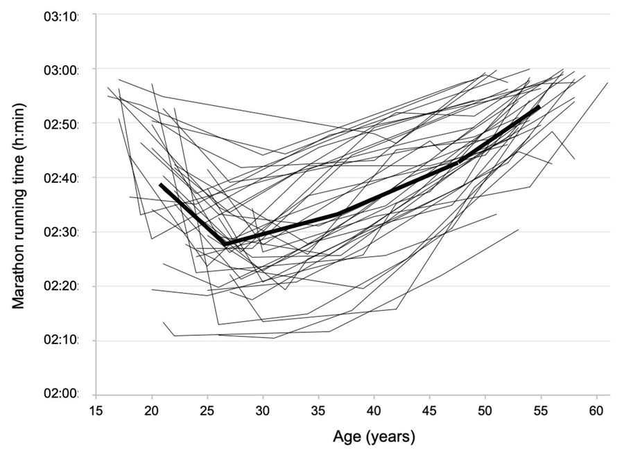
A study in the Frontiers of Physiology analyzed 40 runners who have run sub-3 hour marathons in 5 consecutive decades.
The physiology journal report reveals how lifetime sub 3-hour marathoners declined less than 7 percent per decade.
Full Article: https://www.frontiersin.org/articles/10.3389/fphys.2021.649282/full
